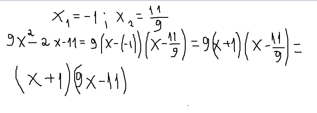
• Какое сделали действие чтобы получилась последняя скобка?Куда исчезла 9 перед первой скобкой и что случилось с до второй скобкой и почему с первой ничего не сделали.Помогите пожалуйста.

    question img

Ответы 1

  • 9•( х+1)•(х-11/9)==( х+1)•[9•(х-11/9)]==(х+1)(9•х-9•11/9)==(х+1)(9х-11)переместительный закон умноженияa•b•c=b•a•cну и распределительный закон умноженияc(d-e)=cd-ce
    • Автор:

      dustyfpzt
    • 6 лет назад
    • 0
  • Добавить свой ответ

Войти через Google

или

Забыли пароль?

У меня нет аккаунта, я хочу Зарегистрироваться

How much to ban the user?
1 hour 1 day 100 years