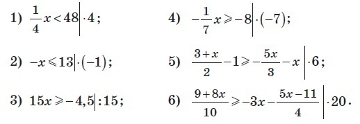
• Выполните умножение или деление обеих частей неравенства в соответствии с записью:

    question img

Ответы 1

  • 1) x < 192

    2) x ≥ -13

    3) x ≥ -0,3

    4) x ≤ 56

    5) 3 + 3x ≥ - 16x

    x ≥ - 3/19

    6) 18 + 16x ≥ - 240x  - 25x + 55

    x ≥ 37/271

    • Автор:

      larissa
    • 6 лет назад
    • 0
  • Добавить свой ответ

Войти через Google

или

Забыли пароль?

У меня нет аккаунта, я хочу Зарегистрироваться

How much to ban the user?
1 hour 1 day 100 years