• Напишите пошаговое решение данного уравнения.
    С примененными правилами, законами и т.п. Чтобы понять как решать его и ему подобные.

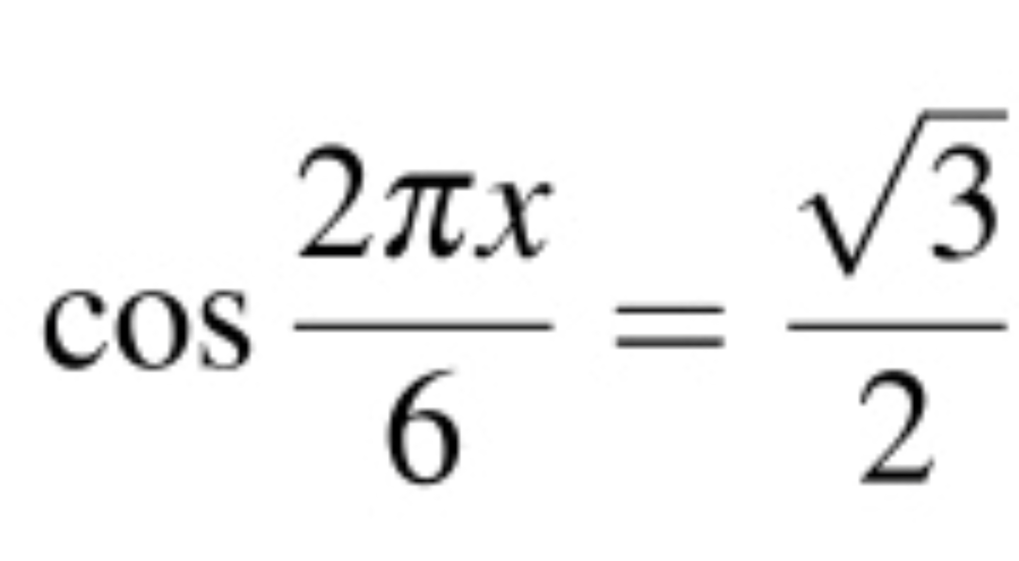
    question img

Ответы 1

  • arccos√3/2=π/6

    поэтому

    2πx/6=+-π/6 + 2πn, где n - целое

    Откуда получаем

    x=+-1/2 + 6n

    • Автор:

      sasha19
    • 6 лет назад
    • 0
  • Добавить свой ответ

Войти через Google

или

Забыли пароль?

У меня нет аккаунта, я хочу Зарегистрироваться

How much to ban the user?
1 hour 1 day 100 years