• Помогите пожалуйстаааааа! Очень прошу! Очень срочно надо...
    Отблагодарю! Заранее спасибо!

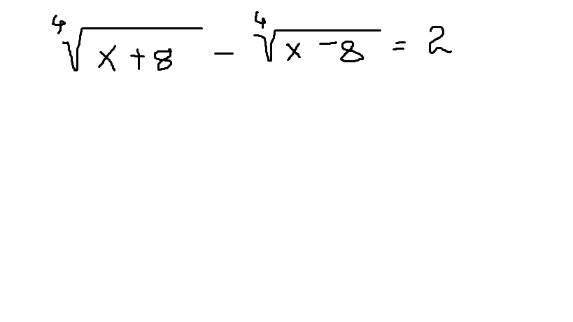
    question img

Ответы 1

  • \sqrt[4]{x+8}-\sqrt[4]{x-8}=2\\ODZ:\;\; \left \{ {{x+8 \geq 0} \atop {x-8 \geq 0}} ight. \;\;\to x \geq 8Если вместо х подставить 8, то получим верное равенство: \sqrt[4]{16}=2,\; \sqrt[4]{2^4}=2\; ,\; 2=2Ответ: х=8
    • Автор:

      janwbte
    • 6 лет назад
    • 0
  • Добавить свой ответ

Еще вопросы

Войти через Google

или

Забыли пароль?

У меня нет аккаунта, я хочу Зарегистрироваться

How much to ban the user?
1 hour 1 day 100 years