• ПОМОГИТЕ С АЛГЕБРОЙ, ПОЖАЛУЙСТА!!! СРОЧНО
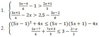
    Решите систему неравенств:

    question img

Ответы 2

  • Да, правильно. По-крайней мере, у меня также получилось)))
    • Автор:

      wyatthxj2
    • 6 лет назад
    • 0
  • Решила первое, второе попробуйте решить сами)

    answer img
    • Автор:

      osvaldo
    • 6 лет назад
    • 0
  • Добавить свой ответ

Еще вопросы

Войти через Google

или

Забыли пароль?

У меня нет аккаунта, я хочу Зарегистрироваться

How much to ban the user?
1 hour 1 day 100 years