• Даю 25 баллов

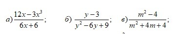
    Сократите дробь, предварительно разложив числитель и знаменатель дроби на множители:



    question img

Ответы 1

  • .................................................

    answer img
    • Автор:

      jettwidj
    • 6 лет назад
    • 0
  • Добавить свой ответ

Войти через Google

или

Забыли пароль?

У меня нет аккаунта, я хочу Зарегистрироваться

How much to ban the user?
1 hour 1 day 100 years