• Пожалуйста помогите решить 5 заданий , очень надо , заранее спасибо!!!

    question img

Ответы 6

  • Перезагрузил , все равно какие-то символы
  • Попробуйте с другого браузера
    • Автор:

      baylee
    • 6 лет назад
    • 0
  • Я с приложения
    • Автор:

      soren38
    • 6 лет назад
    • 0
  • Наверно поэтому не получается
  • Можете помочь решить ещё одно задание?
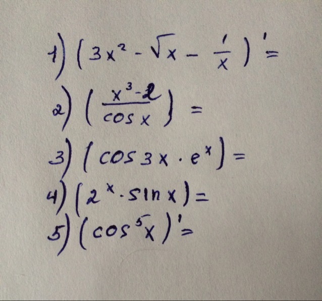
  • 1) (3x^{2} -\sqrt{x} -\frac{1}{x})'=3(x^{2})'-(\sqrt{x})'-(\frac{1}{x})'=6x-\frac{1}{2\sqrt{x} } +\frac{1}{x^{2} }\\\\2)(\frac{x^{3}-2}{Cosx})'=\frac{(x^{3}-2)'*Cosx-(x^{3}-2)*(Cosx)'}{Cos^{2} x}=\frac{3x^{2}*Cosx+(x^{3}-2)*Sinx  }{Cos^{2} x}\\\\3)(Cos3x*e^{x} )'=(Cos3x)'*e^{x} +Cos3x*(e^{x} )'=-3Sin3x*e^{x}+Cos3x*e^{x} =e^{x}(Cos3x-3Sin3x)

    4)(2^{x}*Sinx)'=(2^{x} )'*Sinx+2^{x}*(Sinx)'= 2^{x} *ln2*Sinx+2^{x}*Cosx=2^{x}(ln2*Sinx+Cosx)\\\\5)(Cos^{5} x)'=5Cos^{4}x*(Cosx)'=-5Cos^{4}xSinx

    • Автор:

      jonathon
    • 6 лет назад
    • 0
  • Добавить свой ответ

Еще вопросы

Войти через Google

или

Забыли пароль?

У меня нет аккаунта, я хочу Зарегистрироваться

How much to ban the user?
1 hour 1 day 100 years