• помогите пожалуйста с алгеброй

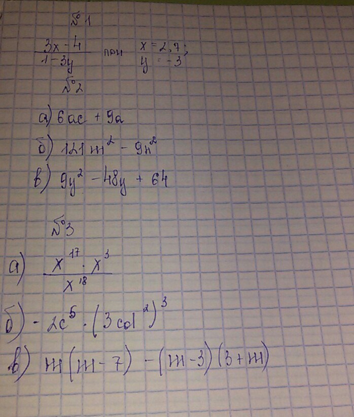
    номер один-вычеслить
    номер два-разложить на множители
    номер три-упростить

    ОЧЕНЬ СРОЧНО

    question img

Ответы 2

  • 1) \frac{3x - 4}{1 - 3y} Если х=2.7, у= -3, то  \frac{3 \times 2.7 - 4}{1 - 3( - 3)} = \frac{4.1}{10} = 0.412)6ac + 9a = 3a(2c + 3)Теперь все
    answer img
  • 6ac   + 9a = 3a(2c + 3) \\ 121 {m {}^{2}  - 9n}^{2}  = (11m - 3n)(11m + 3n)\frac{x {}^{17} \times  {x}^{3}  }{ {x}^{18} }  =   {x} {}^{2} 9 {y}^{2}  - 48y + 64 = (3y - 8 {)}^{2} m(m - 7) - (m - 3)(m + 3) =  {m}^{2}  - 7m - ( m {}^{2}  - 9) = m {}^{2}  - 7m - m {}^{2}   + 9 = 9 - 7m
    answer img
    • Автор:

      martin5
    • 6 лет назад
    • 0
  • Добавить свой ответ

Войти через Google

или

Забыли пароль?

У меня нет аккаунта, я хочу Зарегистрироваться

How much to ban the user?
1 hour 1 day 100 years