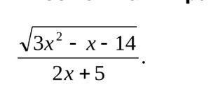
• При каких значениях переменной х имеет смысл выражение

    question img

Ответы 1

  • При х=2,5

    Приравниваешь знаминатель к 0 и решаешь уравнение

  • Добавить свой ответ

Войти через Google

или

Забыли пароль?

У меня нет аккаунта, я хочу Зарегистрироваться

How much to ban the user?
1 hour 1 day 100 years