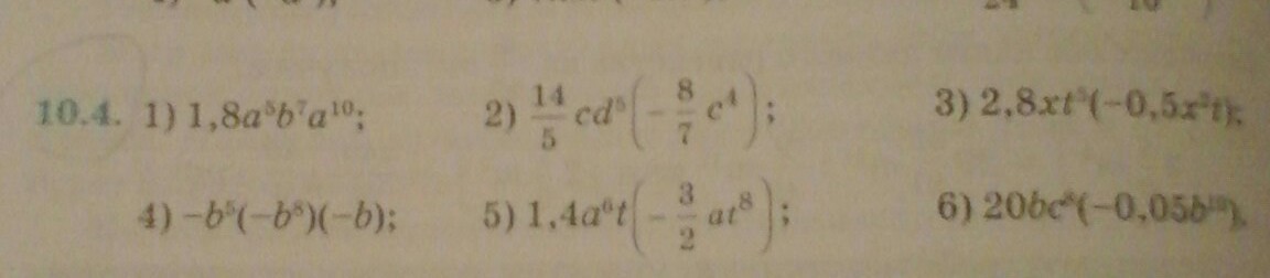
• запишите в стандартном виде одночлены:
    Помогите, N10.4

    question img

Ответы 4

  • Это вы за 7 класс решили? просто я такое не знаю
    • Автор:

      nasirgjoa
    • 6 лет назад
    • 0
  • tckb xnj 'nj^-cntgtym
  • Если что это^-степень
  • 1) 1,8а^15b^7

    2)-16/5c^5d^5

    3)-1.4t^6x^3

    4)-b^14

    5)-21/10a^7t^9

    6)-b^11c^8

  • Добавить свой ответ

Войти через Google

или

Забыли пароль?

У меня нет аккаунта, я хочу Зарегистрироваться

How much to ban the user?
1 hour 1 day 100 years