• Задание со степениями! На вас последняя надежда! 20 Б!!!

    question img

Ответы 3

  • ответ 2
  • не увидел отрицательную степень!
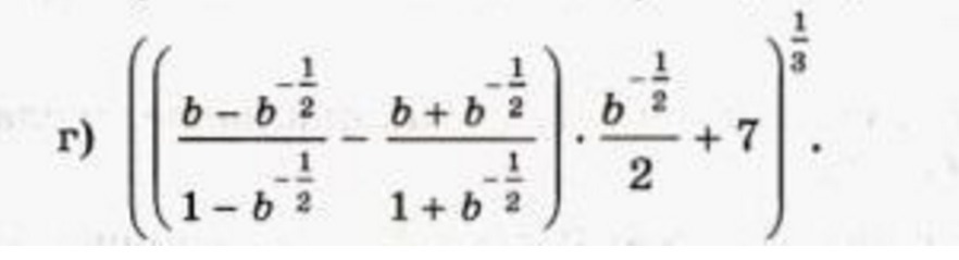
  • \sqrt[3]{(\frac{b-1/\sqrt{b}}{1-1/\sqrt{b}}-\frac{b+1/\sqrt{b}}{1+1/\sqrt{b}})\frac{1}{2\sqrt{b}}+7}=\sqrt[3]{(\frac{b\sqrt{b}-1}{\sqrt{b}}:\frac{\sqrt{b}-1}{\sqrt{b}}-\frac{b\sqrt{b}+1}{\sqrt{b}}:\frac{\sqrt{b}+1}{\sqrt{b}})\frac{1}{2\sqrt{b}}+7}=

    \sqrt[3]{(\frac{b\sqrt{b}-1}{\sqrt{b}-1}-\frac{b\sqrt{b}+1}{\sqrt{b}+1})\frac{1}{2\sqrt{b}}+7}=\sqrt[3]{(\frac{(\sqrt{b}-1)(b+\sqrt{b}+1)}{\sqrt{b}-1}-\frac{(\sqrt{b}+1)(b-\sqrt{b}+1)}{\sqrt{b}+1})\frac{1}{2\sqrt{b}}+7}=\sqrt[3]{(b+\sqrt{b}+1-b+\sqrt{b}-1)\frac{1}{2\sqrt{b}}+7}=\sqrt[3]{\frac{2\sqrt{b}}{2\sqrt{b}}+7}=\sqrt[3]{8}=2

  • Добавить свой ответ

Еще вопросы

Войти через Google

или

Забыли пароль?

У меня нет аккаунта, я хочу Зарегистрироваться

How much to ban the user?
1 hour 1 day 100 years