• Помогите пожалуйста 
    Докажите неравенства


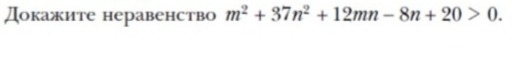
      m^2+37n^2+12mn-8n+20 больше 0
      49b^2-14bc+2c^2+16c+69 больше 0

    question img
    question img

Ответы 1

  • нужно расписать как кв тричлен, собрать формулы, см фото. удачи
    answer img
    • Автор:

      dud
    • 6 лет назад
    • 0
  • Добавить свой ответ

Еще вопросы

Войти через Google

или

Забыли пароль?

У меня нет аккаунта, я хочу Зарегистрироваться

How much to ban the user?
1 hour 1 day 100 years