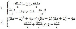
• Решите систему неравенств: (помогите срочно надо!!! Сегодня сдавать!!!)

    question img

Ответы 2

  • спасибо вам огромное!!!)))
  • Решение на фотографиях

    answer img
    • Автор:

      chicow8ru
    • 6 лет назад
    • 0
  • Добавить свой ответ

Еще вопросы

Войти через Google

или

Забыли пароль?

У меня нет аккаунта, я хочу Зарегистрироваться

How much to ban the user?
1 hour 1 day 100 years