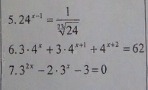
• Помогите решить 3 задания (показательные уравнения)
    Будьте внимательны (первые цифры это номера заданий)

    question img

Ответы 8

  • Благодарю!
    • Автор:

      frankie63
    • 6 лет назад
    • 0
  • нет, логармфмы могут быть, но тут у него ошибки в решении.
  • Я о том что это можно было решить без log... это проверенно
    • Автор:

      lynxmsnr
    • 6 лет назад
    • 0
  • Во всяком случаи большое спасибо!
    • Автор:

      tarae8vr
    • 6 лет назад
    • 0
  • Ему*
    • Автор:

      megan73
    • 6 лет назад
    • 0
  • И тебе... я всё равно проверять буду
  • Решение на фотографии

    answer img
  • первое не решил,потому что там не видно ничего. удачи.
    answer img
  • Добавить свой ответ

Войти через Google

или

Забыли пароль?

У меня нет аккаунта, я хочу Зарегистрироваться

How much to ban the user?
1 hour 1 day 100 years