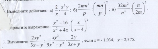
• Решите срочно пжж! надо прям вообще(((
    тема : умножение ,деление ,возведение в степень алгебраич.дробей
    и рисунок

    question img

Ответы 3

  • Короче, сейчас накалякаю на бумажке, ибо неудобно вручную набирать. 5 минут.
    • Автор:

      amber16
    • 6 лет назад
    • 0
  • Все.
    • Автор:

      keegan199
    • 6 лет назад
    • 0
  • a) 2/x • x^2y/4(сокращаем 2 и 4, а также иксы)

    1•ху/2= Ху/2ꜱꜱ

    б) 2mn^2/p : (mn/p)^2

    2mn^2/p : mn^2/p^2

    2mn^2 • p^2 / mn^2 • p(сокращаем)

    answer img
    • Автор:

      sierra
    • 6 лет назад
    • 0
  • Добавить свой ответ

Войти через Google

или

Забыли пароль?

У меня нет аккаунта, я хочу Зарегистрироваться

How much to ban the user?
1 hour 1 day 100 years