• сравнить числа , запишите на листочке , пожалуйста, спасибо

    question img

Ответы 4

  • помогите, пожалуйста, если не затруднит (:
    • Автор:

      romeo9
    • 6 лет назад
    • 0
  • https://znanija.com/task/29977180
    • Автор:

      evanbaker
    • 6 лет назад
    • 0
  • Мираж за что спасибо?)
    • Автор:

      annora
    • 6 лет назад
    • 0
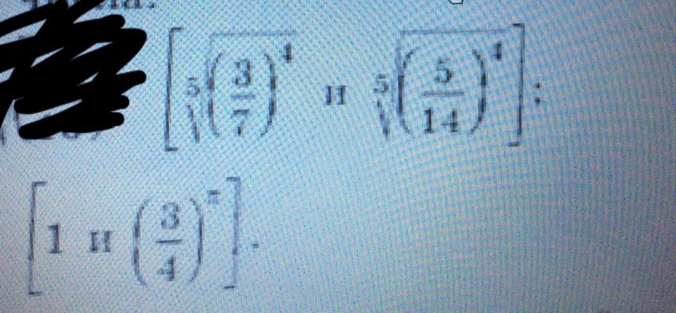
  • \frac{3^\frac{4}{5}}{7^\frac{4}{5}} ? \frac{5^\frac{4}{5}}{14^\frac{4}{5}}

    \frac{6^\frac{4}{5}}{14^\frac{4}{5}} > \frac{5^\frac{4}{5}}{14^\frac{4}{5}}

    1 > (\frac{3}{4})^n т.к. 1 > 3/4 в любой степени как минимум больше 1

    • Автор:

      schultz46
    • 6 лет назад
    • 0
  • Добавить свой ответ

Еще вопросы

Войти через Google

или

Забыли пароль?

У меня нет аккаунта, я хочу Зарегистрироваться

How much to ban the user?
1 hour 1 day 100 years