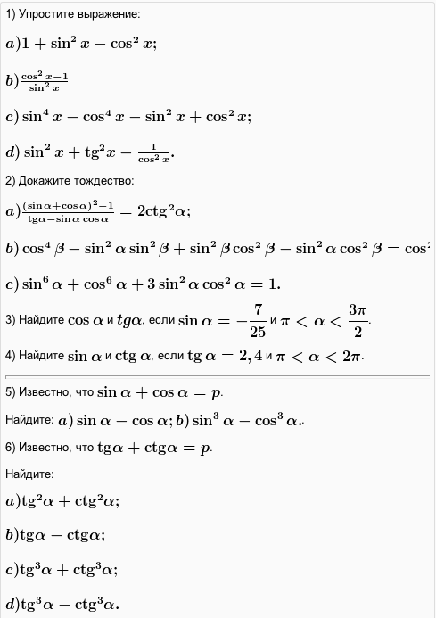
• Не понимаю эти синусы, косинусы, кто может помогите пожалуйста решить и желательно с решением. Решить нужно всё, но это уже кто что сможет.
     

    question img

Ответы 2

  • Первый номер а и  в. Второй номер а
    answer img
    • Автор:

      ivan25
    • 6 лет назад
    • 0
  • 3) cos \alpha =1- sin^{2}  \alpha =1-(-7/25)^2=576/625. т.к.  \pi < \alpha <3 \pi /2 то cos будет с минусом. tg \alpha =sin \alpha /cos \alpha =7/25*625/576=175/576
    answer img
  • Добавить свой ответ

Войти через Google

или

Забыли пароль?

У меня нет аккаунта, я хочу Зарегистрироваться

How much to ban the user?
1 hour 1 day 100 years