• Решите пожалуйста!!!
    Тупо вопрос жизни и смерти.
    Немножко не понимаю(
    Заранее спасибо, огромнейшее

    question img

Ответы 10

  • есть разница?
    • Автор:

      liontxes
    • 6 лет назад
    • 0
  • нет
    • Автор:

      chloetcbt
    • 6 лет назад
    • 0
  • спасибоооооооооо, тупо спасли
    • Автор:

      ringo
    • 6 лет назад
    • 0
  • пожалуйста)
    • Автор:

      natalya87
    • 6 лет назад
    • 0
    • Автор:

      dean
    • 6 лет назад
    • 0
  • спасибоооо
  • Удачи
    • Автор:

      trooper
    • 6 лет назад
    • 0
  • )))
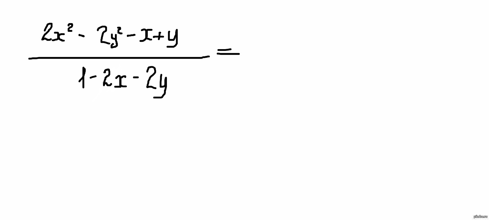
  • \tt \dfrac{2x^2-2y^2-x+y}{1-2x-2y}= \dfrac{2(x^2-y^2)-(x-y)}{1-2x-2y}= \dfrac{2(x-y)(x+y)-(x-y)}{1-2x-2y}= \\\\\\=\dfrac{(x-y)(2(x+y)-1)}{1-2x-2y}=\dfrac{(x-y)(2x+2y-1)}{-(2x+2y-1)}=-(x-y)=y-x

  • \frac{2x^2-2y^2-x+y}{1-2x-2y}=\frac{(2x^2-2y^2)-(x-y)}{1-2x-2y}=\\\\=\frac{2(x^2-y^2)-(x-y)}{1-2x-2y}=\frac{2(x-y)(x+y)-(x-y)}{1-2x-2y}=\\\\=\frac{(x-y)(2(x+y)-1)}{1-2x-2y}=\frac{(x-y)(2x+2y-1)}{1-2x-2y}=\\\\=\frac{(x-y)(2x+2y-1)}{-(2x+2y-1)}=-(x-y)=y-x

  • Добавить свой ответ

Еще вопросы

Войти через Google

или

Забыли пароль?

У меня нет аккаунта, я хочу Зарегистрироваться

How much to ban the user?
1 hour 1 day 100 years