• Объясните (подробно) как пришли к этому ответу. Спасибо

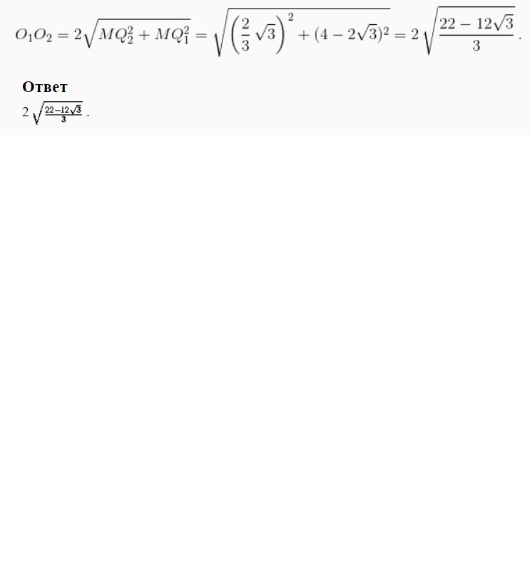
    question img

Ответы 2

  • Большое спасибо.
    • Автор:

      gigii2ww
    • 6 лет назад
    • 0
  • !!!!!!!!!!!!!!!!!!!!!!!

    answer img
    • Автор:

      bond
    • 6 лет назад
    • 0
  • Добавить свой ответ

Войти через Google

или

Забыли пароль?

У меня нет аккаунта, я хочу Зарегистрироваться

How much to ban the user?
1 hour 1 day 100 years