• помогите решить уравнения

    (пожалуйста не только ответ но и как решали)

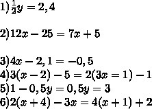
    question img

Ответы 1

  • 1) хз2) 12х - 25 = 7х + 512х - 7х = 5 -255х = -20х = (-20) ÷ 5 х = - 4Ответ : -43) 4х - 2,1 = -0,5 4х = 2,1 - 0,54х = 1.6х = 1,6 ÷ 4 х= 0,4Ответ: 0,44) не могу понять, какой знак вместо равно 2 ( 3х = (?) 1 ) 5) не могу понять , какой знак вместо равно = 0,5у = (?) 36) 2 ( х + 4 ) - 3х = 4 ( х + 1 ) + 22х + 8 - 3х = 4х + 4 + 22х - 3х - 4х = - 8 + 4 + 2-5х = 2 х = 2 : (-5) х = - 0,4
    • Автор:

      fisher
    • 6 лет назад
    • 0
  • Добавить свой ответ

Войти через Google

или

Забыли пароль?

У меня нет аккаунта, я хочу Зарегистрироваться

How much to ban the user?
1 hour 1 day 100 years