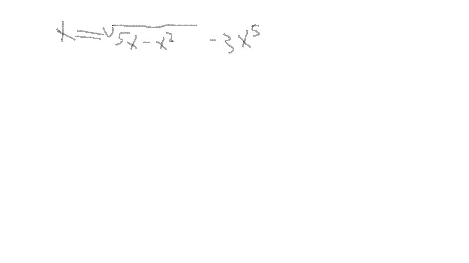
• найдите облость определения функции (решите уравнение)

    question img

Ответы 1

  • 5х-х² ≥0

    х*(5-х) ≥ 0

    х≥0

    5-х≥0  х≤5  х∈[0 ;5]

    --------------------------------

    х≤0

    5-х≤0  х≥ 5     х∈∅

    Ответ :  х∈[0 ;5]

  • Добавить свой ответ

Войти через Google

или

Забыли пароль?

У меня нет аккаунта, я хочу Зарегистрироваться

How much to ban the user?
1 hour 1 day 100 years