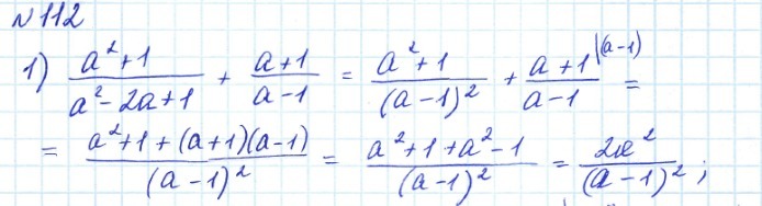
• Почему в числителе (a+1)(a-1) получается a^²-1? Ведь там перемножаются два многочлена и должно получиться a²-a+-1. Почему так????

    question img

Ответы 2

  • аааа господи тооочно. спасибо большое))
  • это две разные формулы
  • Добавить свой ответ

Еще вопросы

Войти через Google

или

Забыли пароль?

У меня нет аккаунта, я хочу Зарегистрироваться

How much to ban the user?
1 hour 1 day 100 years