• ОЧЕНЬ СРОЧНО!! 25 баллов!Найдите область определения функции:

    question img

Ответы 1

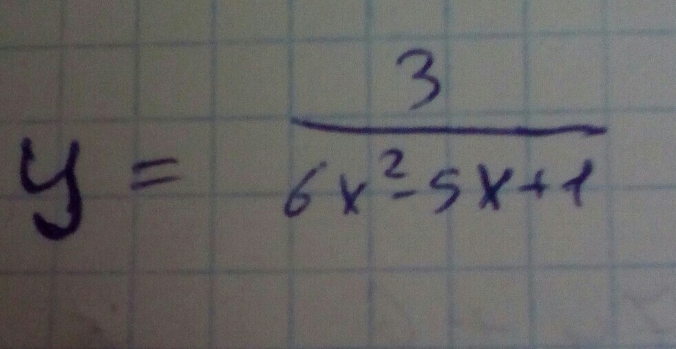
  • на ноль делить нельзя:

    6x²-5x+1≠0;

    D=25-4*6=1;

    x₁=(5+1)/12≠1/2;

    x₂=(5-1)/12≠1/3;

    x ∈ (-∞;1/3;)∪(1/3;1/2)∪(1/2;∞);

  • Добавить свой ответ

Войти через Google

или

Забыли пароль?

У меня нет аккаунта, я хочу Зарегистрироваться

How much to ban the user?
1 hour 1 day 100 years