• Помогите, пожалуйста вычислить предел. Только распишите каждое действие очень-очень подробно.

    question img

Ответы 1

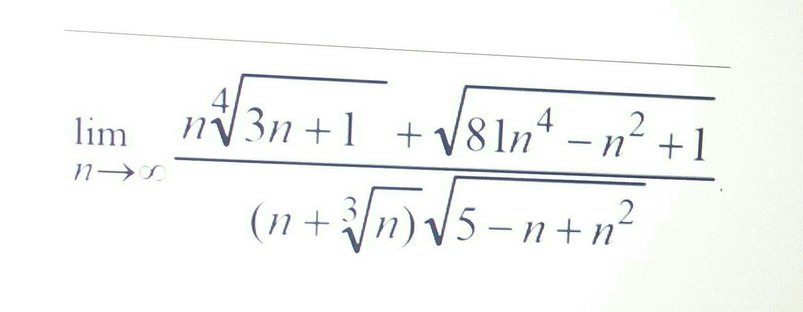
  • \lim\limits _{n \to \infty}\frac{n\sqrt[4]{3n+1}+\sqrt{81n^4-n^2+1}}{(n+\sqrt[3]{n})\sqrt{5-n+n^2}}=\Big [\frac{:n^2}{:n^2}\Big ]=\lim\limits_{n \to \infty}\frac{\frac{n\sqrt[4]{3n+1}}{n\cdot n}+\frac{\sqrt{81n^4-n^2+1}}{n^2}}{\frac{(n+\sqrt[3]{n})\sqrt{5-n+n^2}}{n\cdot n}}=\\\\= \lim\limits _{n \to \infty}\frac{\sqrt[4]{\frac{3}{n^3}+\frac{1}{n^4}}+\sqrt{81-\frac{1}{n^2}+\frac{1}{n^4}}}{(1+\frac{1}{n^{2/3}})\sqrt{\frac{5}{n^2}-\frac{1}{n}+1}}=\frac{0+9}{1\cdot 1}=9

    P.S.\; \; \frac{\sqrt{81n^4-n^2+1}}{n^2}=\sqrt{\frac{81n^4-n^2+1}{n^4}}=\sqrt{\frac{81n^4}{n^4}-\frac{n^2}{n^4}+\frac{1}{n^4}}=\sqrt{81-\frac{1}{n^2}+\frac{1}{n^4}}\\\\\frac{\sqrt[4]{3n+1}}{n}=\sqrt[4]{\frac{3n+1}{n^4}}=\sqrt[4]{\frac{3n}{n^4}+\frac{1}{n^4}}=\sqrt[4]{\frac{3}{n^3}+\frac{1}{n^4}}\\\\\frac{\sqrt{5-n+n^2}}{n}=\sqrt{\frac{5-n+n^2}{n^2}}=\sqrt{\frac{5}{n^2}-\frac{1}{n}+1}

  • Добавить свой ответ

Еще вопросы

Войти через Google

или

Забыли пароль?

У меня нет аккаунта, я хочу Зарегистрироваться

How much to ban the user?
1 hour 1 day 100 years