• Помогите пожалуйста!Очень срочно,алгебра,корни,8 класс.
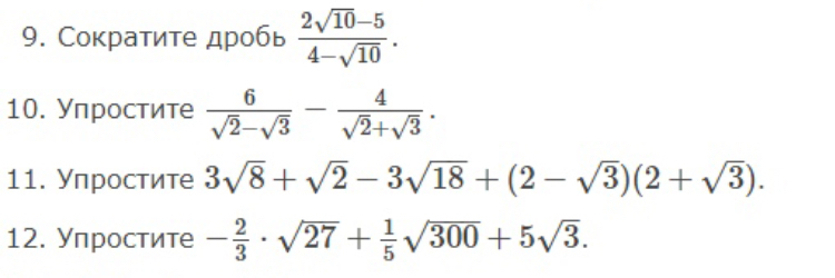
    Задания 9-12.Срочно

    question img

Ответы 2

  • Это не верный ответ,надо для начала было найти общий знаменатель
    • Автор:

      katz
    • 6 лет назад
    • 0
  • Десятое..............

    answer img
    • Автор:

      shadybird
    • 6 лет назад
    • 0
  • Добавить свой ответ

Войти через Google

или

Забыли пароль?

У меня нет аккаунта, я хочу Зарегистрироваться

How much to ban the user?
1 hour 1 day 100 years