• Помогите пожалуйста с алгеброй.Задания легкие,но я не понимаю тему.20-23.

    question img

Ответы 5

  • С дробью все понятно?
    • Автор:

      reeve
    • 6 лет назад
    • 0
  • в корне можно умножать .То есть если тебе нужно ее как-нибудь сделать поудобнее (для решений) ,то (возьмем ,например, число которое вытащить нельзя...) √24 => √4 * 6 => 2√6 . Получается ,что мы вытащили ,что могли .
    • Автор:

      colton125
    • 6 лет назад
    • 0
  • Ах да и если ты хочешь умножить на корень(√3) число без корня(3(к примеру, просто взяла)) тебя ни чего не выйдет . т.к. Просто получится 3√3 , нет умножение будет но числа не изменятся.
    • Автор:

      eve5lvy
    • 6 лет назад
    • 0
  • Пожалуйста поставь спасибо и сделай лучшим ответом )
    • Автор:

      costa
    • 6 лет назад
    • 0
  • Ну смотри .

    Что такое корень ?

    Говоря кратко корень имеет функцию противоположную второй степени...То есть возьмем число √4 .Если его "вытащить" оно будет 2.

    ⇒√4=2

    Это действует и в обратную строну

    если нам надо ввести в корень то мы наоборот делаем его больше

    ⇒ 6=√36

    Ну ладно из меня ужасный учитель и ты знаешь эту тему(наверняка).Перейдем к решению.

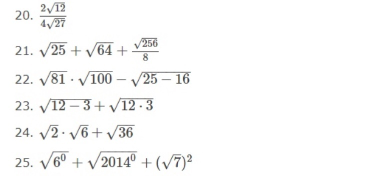
    20.

    2√12/4√27 =

    = 2√3*4/4√3*9=

    =2*2√3/4*3√3=

    =4√3/6√3⇒

    ⇒4/6

    21.√25 + √64 + √256/8⇒ 5 + 8 +16/8= 5 + 8 + 2= 15

    22. √81 *√100 - \sqrt{25-16} =9 * 10 - √9= 90 - 3 = 83

    23.\sqrt{12-3}  + \sqrt{12*3} =\sqrt{9}  + \sqrt{36} = 3 + 6 = 9

    • Автор:

      juan1j7c
    • 6 лет назад
    • 0
  • Добавить свой ответ

Войти через Google

или

Забыли пароль?

У меня нет аккаунта, я хочу Зарегистрироваться

How much to ban the user?
1 hour 1 day 100 years