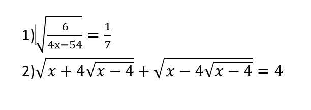
• 10 класс, иррациональные уравнения, под номером 2 решите пожалуйста.

    question img

Ответы 1

  • ОДЗ: x≥4

    \sf \\ \sqrt{x+4\sqrt{x-4}}+\sqrt{x-4\sqrt{x-4}}=4 \\ \sqrt{x-4+4\sqrt{x-4}+4}+\sqrt{x-4-4\sqrt{x-4}+4}=4 \\ \sqrt{(\sqrt{x-4}+2)^2}+\sqrt{(\sqrt{x-4}-2)^2}=4 \\ |\sqrt{x-4}+2|+|\sqrt{x-4}-2|=4 \\ \sqrt{x-4}+2+|\sqrt{x-4}-2|=4

    Найдем нуль подмодульного выражения:

    \sqrt{x-4}-2=0 \\ x-4=4 \\ x=8

    Решаем на интервалах:

    1) \ x<8 \\ \\ \sqrt{x-4}+2-\sqrt{x-4}+2=4 \\ 4=4 \\ \\ x \in [4; 8) \\ \\ 2) \ x\geq 8 \\\\ \sqrt{x-4}+2+\sqrt{x-4}-2=4 \\ \sqrt{x-4}=2 \\ x=8

    Ответ: x∈[4; 8]

    • Автор:

      jesus55
    • 6 лет назад
    • 0
  • Добавить свой ответ

Войти через Google

или

Забыли пароль?

У меня нет аккаунта, я хочу Зарегистрироваться

How much to ban the user?
1 hour 1 day 100 years