• Решите уравнение. Если уравнение имеет более одного корня, в ответе запишите больший из корней.
    Решите пошагово и с теорией,прошу вас.

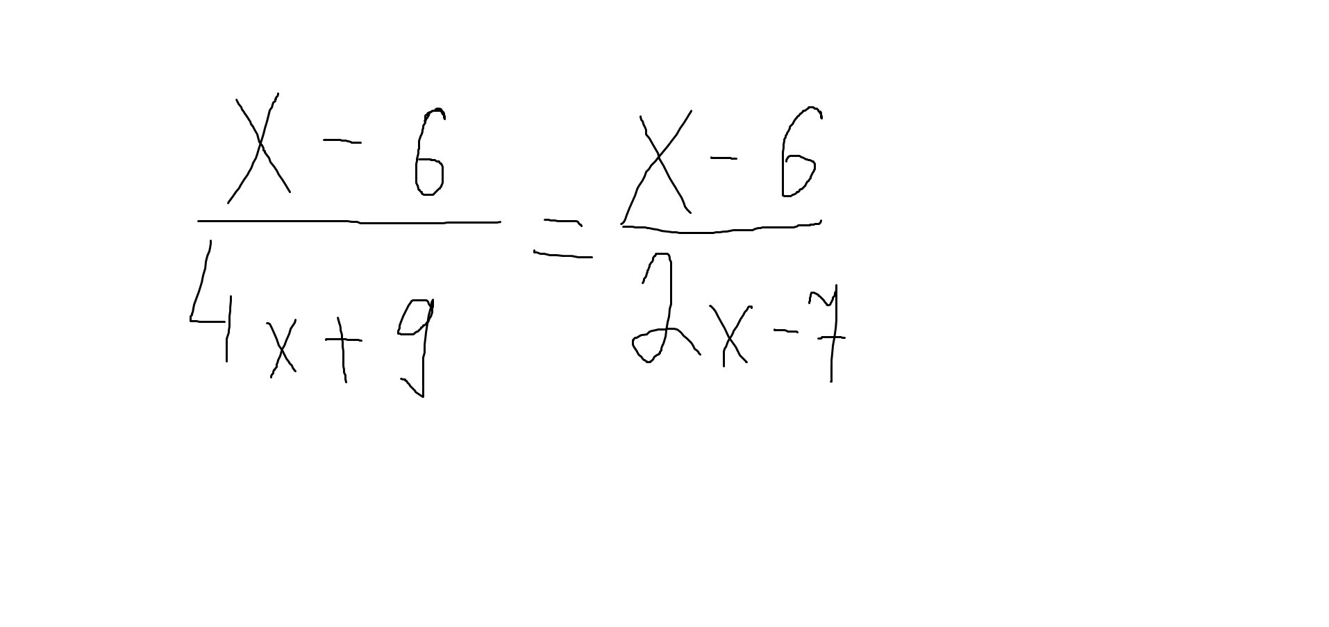
    question img

Ответы 6

  • нет
  • а где мы вынесли множитель?
    • Автор:

      maestro
    • 6 лет назад
    • 0
  • общий множитель здесь-это (x-6). на примере обычных чисел: 5×4-5×
  • ой, не дописала: 5×(4x-8)-5×(2x+7), здесь общий множитель "5", его млжно вынести: 5×((4x-8)-(2x+7))
  • то же самое в твоём примере, только ,грубо говоря, вместо "5" там "(x-6)"
    • Автор:

      mickey
    • 6 лет назад
    • 0
  • если что-то не понятно, спрашивай
    answer img
  • Добавить свой ответ

Войти через Google

или

Забыли пароль?

У меня нет аккаунта, я хочу Зарегистрироваться

How much to ban the user?
1 hour 1 day 100 years