• Помогите пожалуйста!
    Мне очень срочно!!!

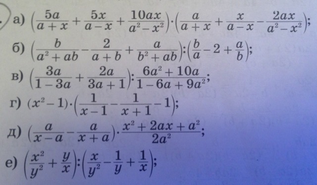
    Выполните действия на фотографии.


    У меня есть только ответы:

    а)5;


    1
    б)----------- ;
    а+в


    1-3а
    в)------------- ;
    2(1+3а)


    г)3 - x в квадрате;


    x+a
    д)--------- ;
    x-a


    e) x+y .

    question img

Ответы 3

  • Спасиба вам больше!!!! Вы мне очень помогли.
  • Всегда пожалуйста )
    • Автор:

      briley
    • 6 лет назад
    • 0
  • Скачай приложение PhotoMath, там подробно можно решить любые уравнеия и примеры
  • Добавить свой ответ

Войти через Google

или

Забыли пароль?

У меня нет аккаунта, я хочу Зарегистрироваться

How much to ban the user?
1 hour 1 day 100 years