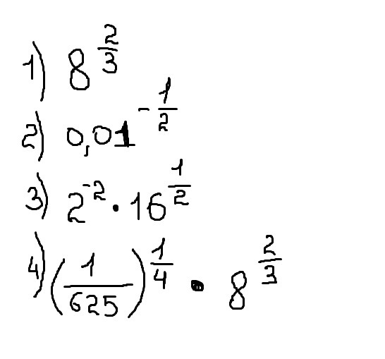
• Представьте выражения в виде корня из числа или выражения. 20 б
    помогите пожалуйста с объяснением:

    question img

Ответы 2

  • 1)8^{\frac{2}{3}}= \sqrt[3]{8^{2}}= \sqrt[3]{(2^{2})^{3}} }= 2^{2}=4\\\\2)0,01^{-\frac{1}{2}}= \frac{1}{\sqrt{0,01}}= \frac{1}{0,1}=10\\\\3)2^{-2}* 16^{\frac{1}{2}}= \frac{1}{4}* \sqrt{16}= \frac{1}{4}*4=1\\\\4)(\frac{1}{625}) ^{\frac{1}{4}}* 8^{\frac{2}{3}}= \sqrt[4]{\frac{1}{625}}* \sqrt[3]{8^{2}}= \sqrt[4]{(\frac{1}{5})^{4}}* \sqrt[3]{(2^{2})^{3}}= \frac{1}{5}*4=0,8

    • Автор:

      cohen9
    • 6 лет назад
    • 0
  • это будет выглядеть так:

    answer img
  • Добавить свой ответ

Войти через Google

или

Забыли пароль?

У меня нет аккаунта, я хочу Зарегистрироваться

How much to ban the user?
1 hour 1 day 100 years