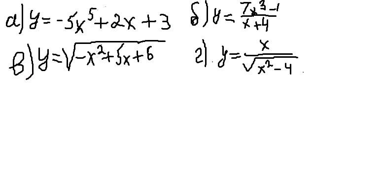
• Помогите пожалуйста!Нужно с решением:Найти D(y), если 

    question img

Ответы 1

  • а) это парабола, ветви направлены вниз, она определена при любых значениях х.

    б) в знаменателе х может принимать любые значения, в числителе все кроме х=-4, так как на 0 делить нельзя.

    в)значение под корнем должно быть числом положительным. Разложив на множители рассмотрим два варианта когда оба множителя больше 0, и когда оба множителя меньше 0; в обоих случаях произведение больше 0.

    г) здесь знаменатель не должен быть равен 0, и под корнем должно быть значение большее 0.

    answer img
  • Добавить свой ответ

Войти через Google

или

Забыли пароль?

У меня нет аккаунта, я хочу Зарегистрироваться

How much to ban the user?
1 hour 1 day 100 years