• РЕБЯТ,ПОМОГИТЕ,ОЧЕНЬ СРОЧНО,ОДИН ПРИМЕР И НЕМАЛО БАЛЛОВ!!!!!!
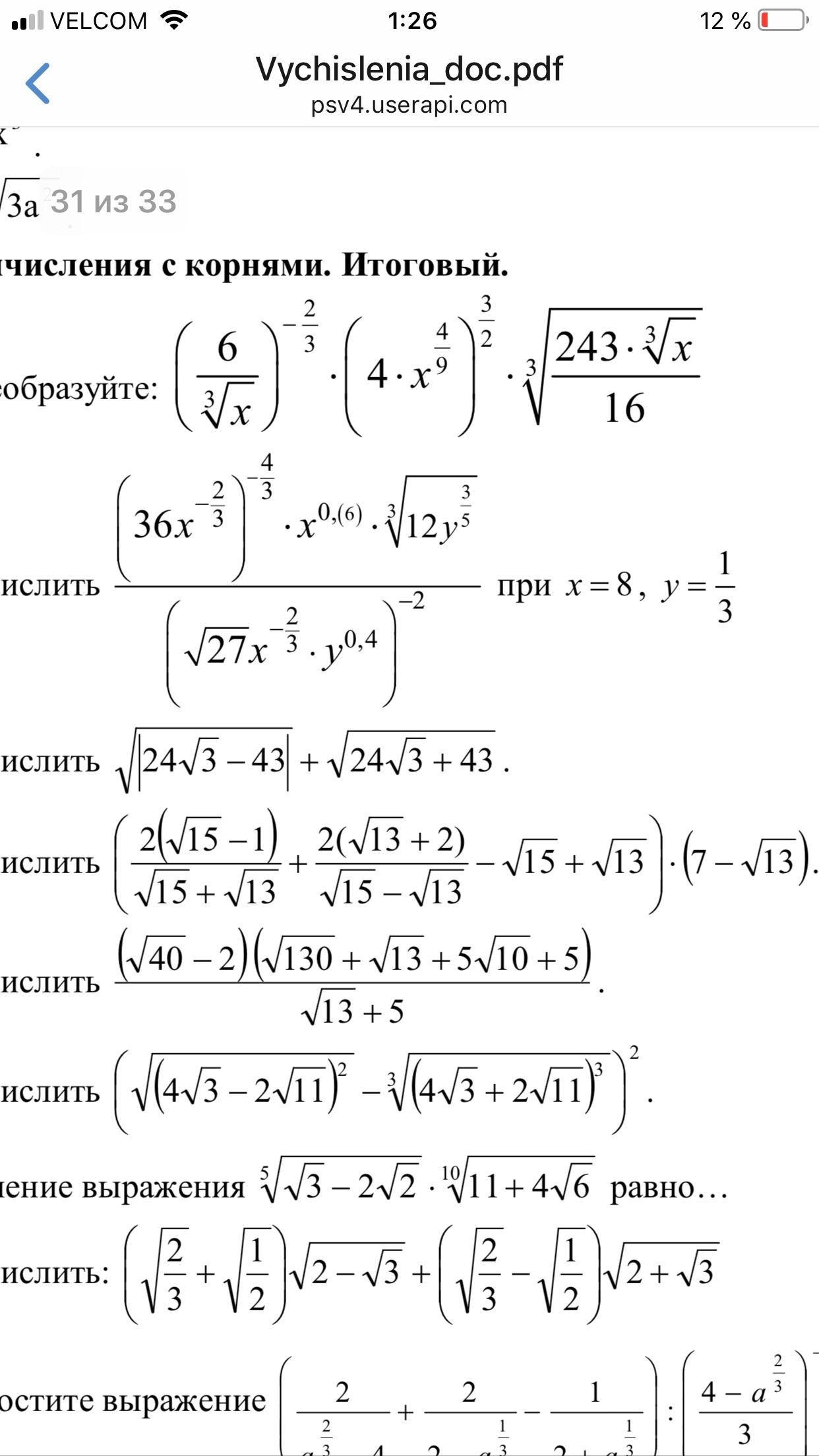
    ПРИМЕР,КОТОРЫЙ НАЧИНАЕТСЯ С 36х..........

    question img

Ответы 8

  • Спасибо,просто в ответах написано,что должно получиться 1
  • Спасибо за помощь,я тоже прорешивала несколько раз разными путями,но с ответом не сошлось-там написано,что получится 1
    • Автор:

      avery
    • 6 лет назад
    • 0
  • Верный ответ у М11m. Сокращено верно и у меня и у него. Но я ошиблась, когда решала после подстановки.
    • Автор:

      button
    • 6 лет назад
    • 0
  • Точно не 1. Посчитайте, только в хороших, программах и вам выдаст именно 0,27516060......
  • Я почему и написала, что проверить, так как ночью ответ не сходил я. Вот М11m решил и я увидела свою ошибку.
    • Автор:

      mimi12
    • 6 лет назад
    • 0
  • Большое вам спасибо!!))
    • Автор:

      piper1g4g
    • 6 лет назад
    • 0
  • Посмотрите, решала тщательно, но проверьте.

    answer img
    • Автор:

      kato
    • 6 лет назад
    • 0
  • !!!!!!!!!!!!!!!!!!!!!!!

    answer img
  • Добавить свой ответ

Войти через Google

или

Забыли пароль?

У меня нет аккаунта, я хочу Зарегистрироваться

How much to ban the user?
1 hour 1 day 100 years