• ПОМОГИТЕ ПОЖАЛУЙСТА РЕШИТЬ.
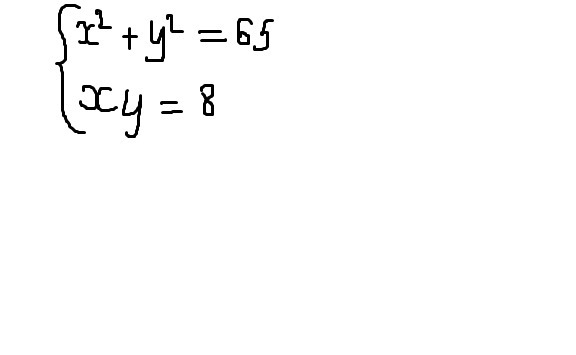
    x^2+y^2=65
    xy=8

    question img

Ответы 1

  • ответтттттттттттттт

    answer img
  • Добавить свой ответ

Еще вопросы

Войти через Google

или

Забыли пароль?

У меня нет аккаунта, я хочу Зарегистрироваться

How much to ban the user?
1 hour 1 day 100 years