• Привет, помогите с примером под номером 4. Нужно привести дроби у общему знаменателю

    question img

Ответы 1

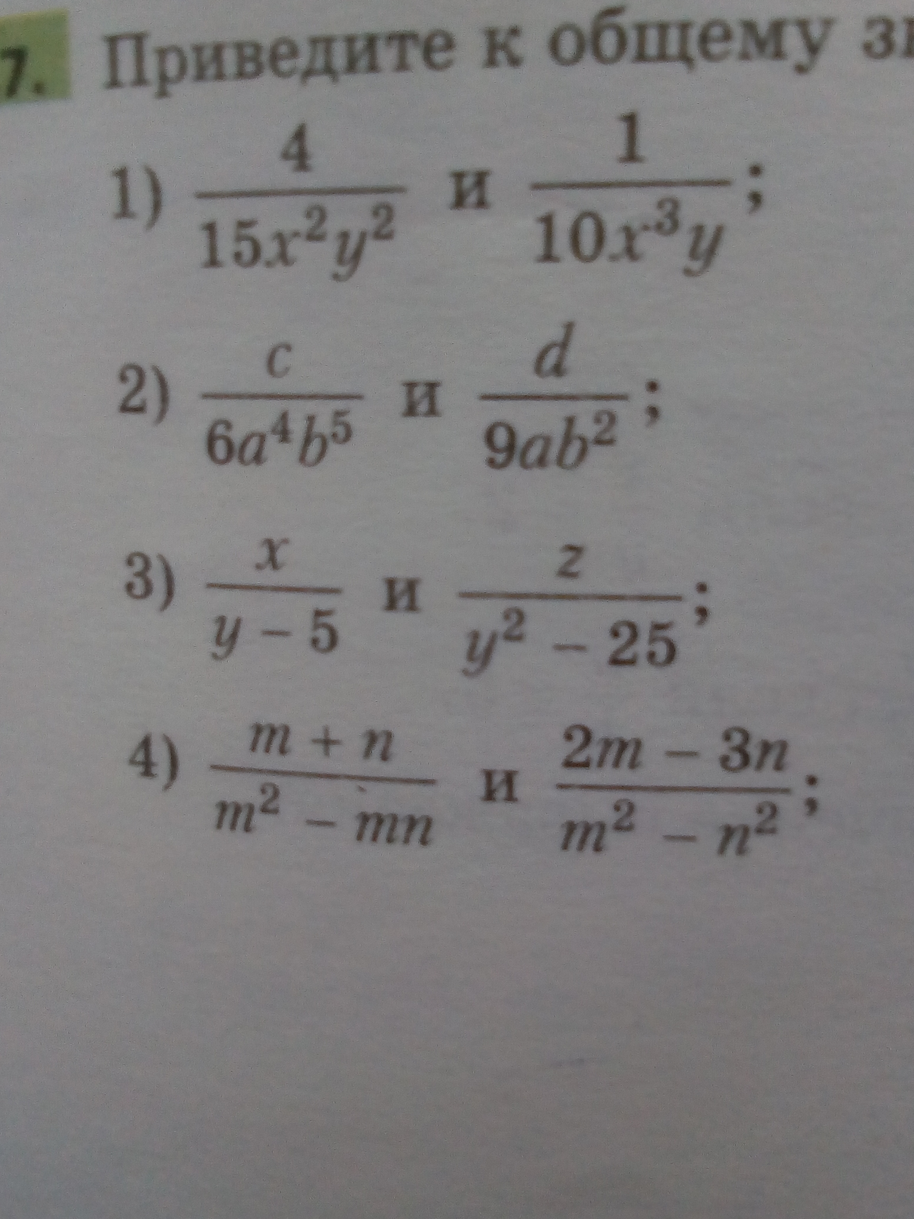
  • m+n     и     2m-3n

    m²-mn         m²-n²

    m+n     и   2m-3n                ОЗ: m(m-n)(m+n)

    m(m-n)       (m-n)(m+n)

    (m+n )(m+n)     и    m (2m-3n)        

    m(m-n)(m+n)          m(m-n)(m+n)

    • Автор:

      carr
    • 6 лет назад
    • 0
  • Добавить свой ответ

Войти через Google

или

Забыли пароль?

У меня нет аккаунта, я хочу Зарегистрироваться

How much to ban the user?
1 hour 1 day 100 years