• ПОМОГИТЕ!!!!
    Кто ответит отмечу лучшим!!!

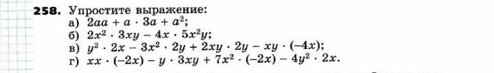
    258(в, г)

    question img

Ответы 3

  • удачи тебе в учёбе. Надеюсь я тебе помог.
    • Автор:

      fabioleer
    • 6 лет назад
    • 0
  • Спасибо,очень помог,вам тоже good luck
  • ответы на скринах смотри.
    answer img
    • Автор:

      belch8li6
    • 6 лет назад
    • 0
  • Добавить свой ответ

Войти через Google

или

Забыли пароль?

У меня нет аккаунта, я хочу Зарегистрироваться

How much to ban the user?
1 hour 1 day 100 years