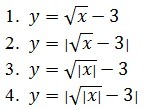
• Постройте графики функций, укажите этапы построения:

    question img

Ответы 2

  • Спасибо большое!! Огромное!!
  • Надеюсь, вы сможете все рассмотреть. Удачи!

    answer img
  • Добавить свой ответ

Войти через Google

или

Забыли пароль?

У меня нет аккаунта, я хочу Зарегистрироваться

How much to ban the user?
1 hour 1 day 100 years