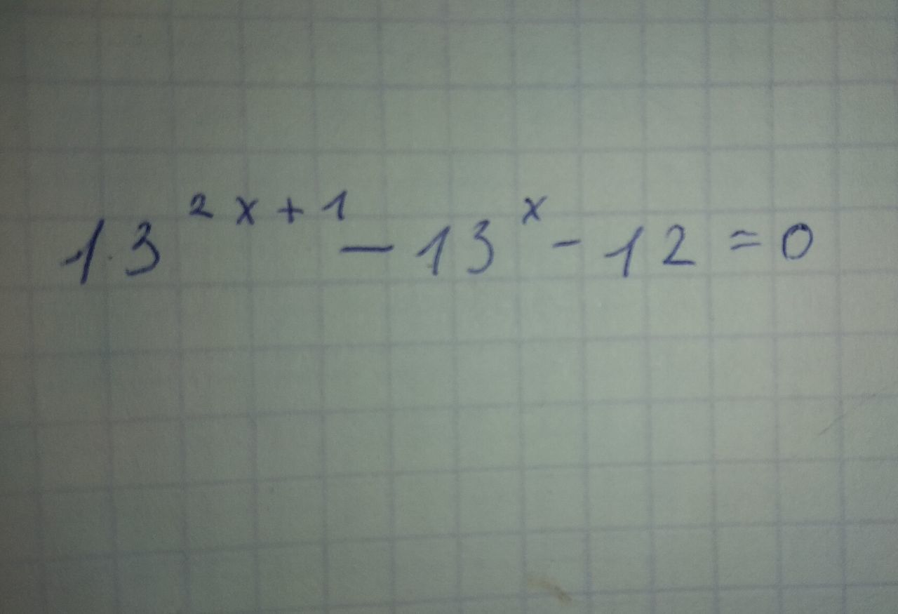
• СРОЧНО!!! РЕШИТЕ УРАВНЕНИЕ ЧЕРЕЗ ДИСКРИМИНАНТ

    question img

Ответы 2

  • ...............отвтволчтввтчлвл
    answer img
  • Смотри.....................

    answer img
    • Автор:

      rosie62
    • 6 лет назад
    • 0
  • Добавить свой ответ

Войти через Google

или

Забыли пароль?

У меня нет аккаунта, я хочу Зарегистрироваться

How much to ban the user?
1 hour 1 day 100 years