• Даю 15 балов! Подайте выражение (выражение на картинке) в виде степени с рациональным показателем.
    (Подайте вираз (вираз на картинці) у вигляді степеня з раціональним показником. )

    question img

Ответы 1

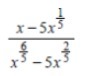
  • \frac{x-5x^{\frac{1}{5}}} {x^{\frac{6}{5} } -5x^{\frac{2}{5}}}}

    Выносим в знаменателе x в степени 1/5:

    \frac{x-5x^{\frac{1}{5}}}{x^{\frac{6}{5}}-5x^{\frac{2}{5}}}} = \frac{{x^\frac{5}{5}}-5x^{\frac{1}{5}}}{x^{\frac{6}{5}}-5x^{\frac{2}{5}}}} = \frac{x^{\frac{5}{5}}-5x^{\frac{1}{5}}}{x^{\frac{5}{5}}*x^{\frac{1}{5}}-5x^{\frac{1}{5}}*x^{\frac{1}{5}}}} = \frac{1}{x^{\frac{1}{5}}} * \frac{x^{\frac{5}{5}}-5x^{\frac{1}{5}}}{x^{\frac{5}{5}}-5x^{\frac{1}{5}}} = x^{\frac{-1}{5}}  То есть сократив выражение на х - 5х^(1/5) получили 1/(х^(1/5)),а это в свою очередь можно записать с отрицательной степенью (-1/5)

  • Добавить свой ответ

Войти через Google

или

Забыли пароль?

У меня нет аккаунта, я хочу Зарегистрироваться

How much to ban the user?
1 hour 1 day 100 years