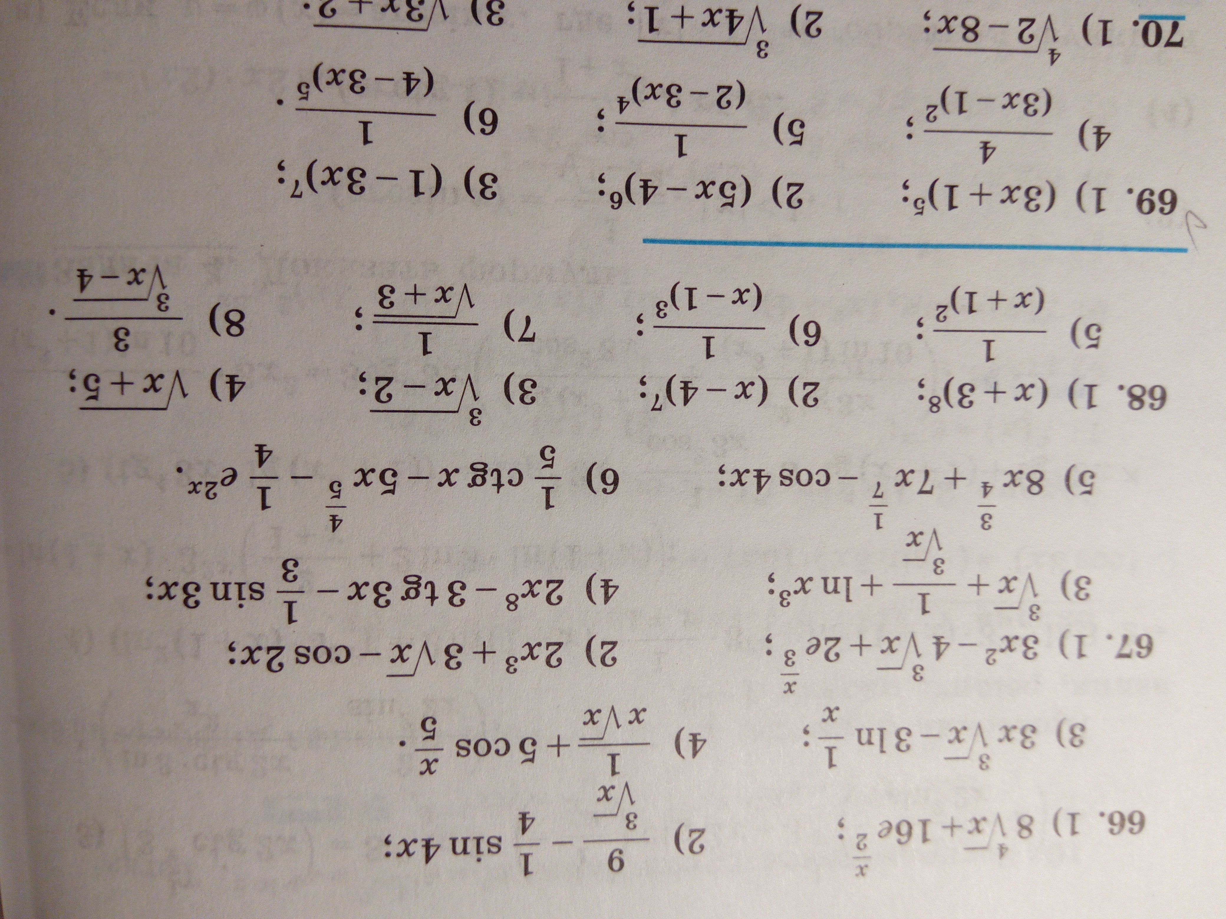
• Срочно. Помогите пожалуйста. Много баллов. № 67(4) Найти производную функции.

    question img

Ответы 2

  • Последнее равно , просто привела к общему знаменателю
    • Автор:

      king92
    • 6 лет назад
    • 0
  • Смотри..................

    answer img
  • Добавить свой ответ

Войти через Google

или

Забыли пароль?

У меня нет аккаунта, я хочу Зарегистрироваться

How much to ban the user?
1 hour 1 day 100 years