• 6х(х+2)-0,5(1,5х^2-7х)-3=0 я поняла как приводить, но как решить дальше я не знаю помогите пожалуйста..

    question img

Ответы 1

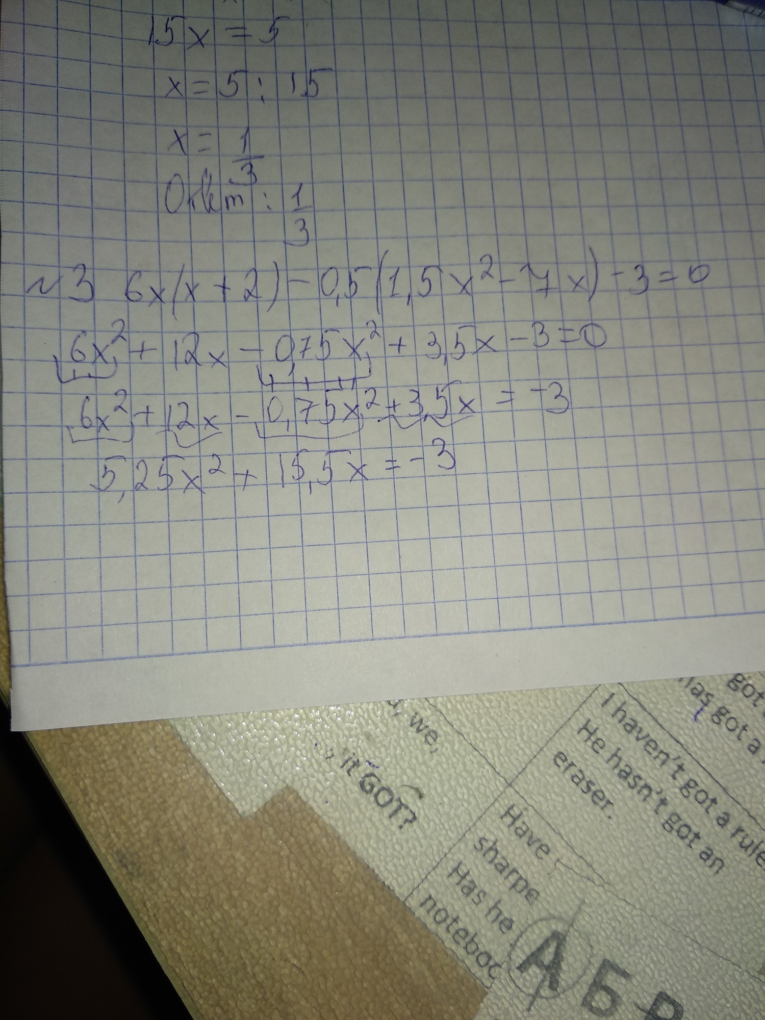
  • 6х(х+2)-0,5(1,5х^2-7х)-3=0

    6x² +12x - 0.75 x² + 3.5 x - 3 = 0

    5.25 x² + 15.5x - 3 = 0  

    D = 15.5² + 12 * 5.25 = 240.25 + 63 = 303.25

    x(1) = (-15.5 + √303.25) / 10.5

    x(2) = (-15.5-√303.25) / 10.5

  • Добавить свой ответ

Войти через Google

или

Забыли пароль?

У меня нет аккаунта, я хочу Зарегистрироваться

How much to ban the user?
1 hour 1 day 100 years