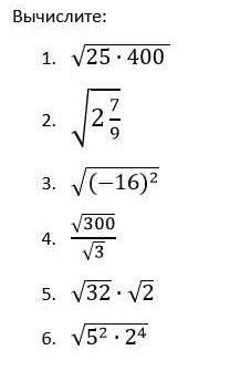
• Помогите с алгеброй мне срочно нужно! Через 1 час сдавать! Я почти всё сделала только это не успеваю!

    question img
    question img

Ответы 6

  • Спасибо а можно ещё 2 задание?
    • Автор:

      amy72
    • 6 лет назад
    • 0
  • я с телефона и мне доступно только одно задание, которое я и решила..
    • Автор:

      yairb6uo
    • 6 лет назад
    • 0
  • https://znanija.com/task/30479232
  • Вот я создала, там то задание
  • Ты тут?
  • 14V2+24V2+12V2=(14+24+12)V2=50V2потому, что подкоренные выражения РАВНЫ
  • Добавить свой ответ

Войти через Google

или

Забыли пароль?

У меня нет аккаунта, я хочу Зарегистрироваться

How much to ban the user?
1 hour 1 day 100 years