• Помогите пожалуйста! Тут довольно просто, у меня времени в обрез.

    question img

Ответы 1

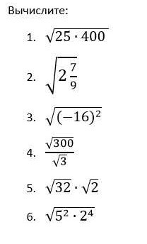
  • 1. 1002. Корень 14/33. 164. 10
  • Добавить свой ответ

Еще вопросы

Войти через Google

или

Забыли пароль?

У меня нет аккаунта, я хочу Зарегистрироваться

How much to ban the user?
1 hour 1 day 100 years