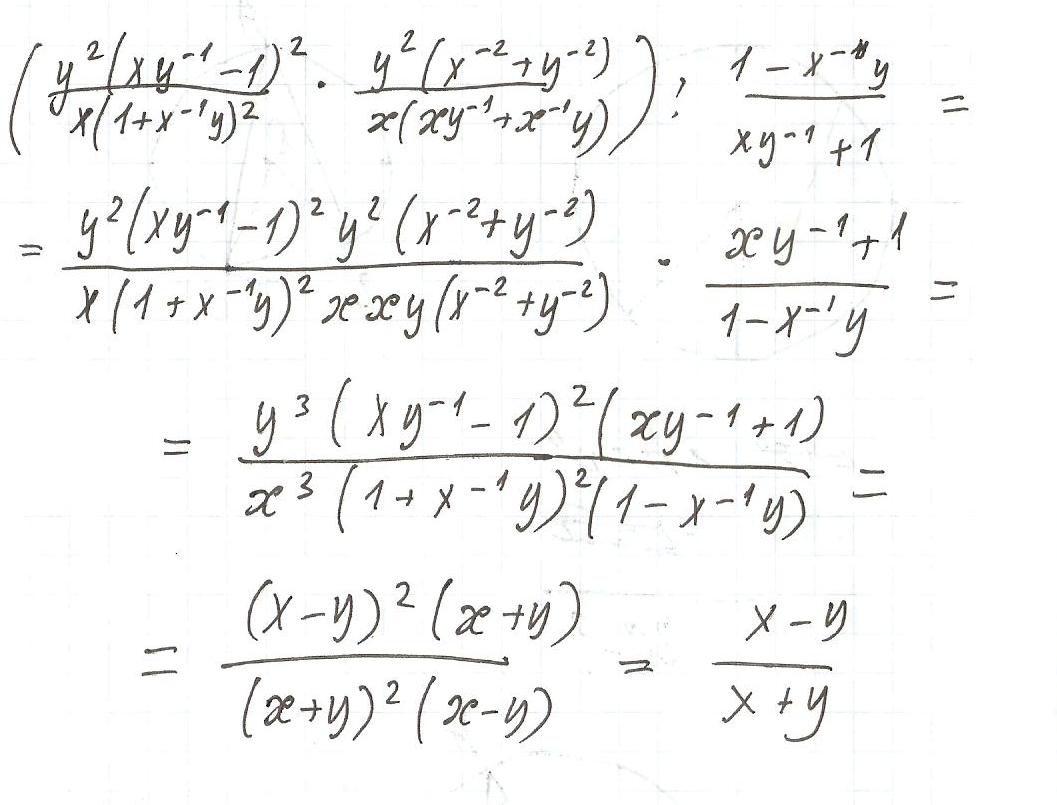
Помогите, СРОЧНО, Алгебра, 8 класс: Я болела, тему пропустила, помогите, желательно решение добавить во вложения, чтобы я хотя бы что-то поняла! Докажите тождество:
( y^2(xy^-1 -1)^2/ x( 1+x^-1y)^2 * y^2( x^-2+ y^-2) / x( xy^-1 + x^-1y) : 1- x^-1 y/ xy^-1+ 1 = x-y/ x+y
Автор:
snow whitecn15Добавить свой ответ
Предмет:
МатематикаАвтор:
pongoОтветов:
Смотреть
Предмет:
ИсторияАвтор:
mad maxzygpОтветов:
Смотреть
Предмет:
МатематикаАвтор:
wade11Ответов:
Смотреть
Предмет:
Русский языкАвтор:
leonardcghgОтветов:
Смотреть