• Помогите решить! Пожалуйста! Срочно!
    Отмечу как лучший, 5 звёзд

    question img

Ответы 1

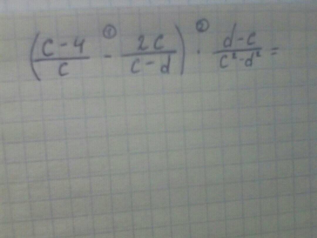
  • ((c-4)/c-2c/(c-d))•(d-c)/((c-d)(c+d))=(c^2-4c-cd=4d)(c-d)/(c(c-d)(c+d))=1/(c+d)

    • Автор:

      boone17
    • 6 лет назад
    • 0
  • Добавить свой ответ

Еще вопросы

Войти через Google

или

Забыли пароль?

У меня нет аккаунта, я хочу Зарегистрироваться

How much to ban the user?
1 hour 1 day 100 years