• Как это сделать,только в этом выражение не нужно сразу решать, нужно сначала сократить.

    question img

Ответы 2

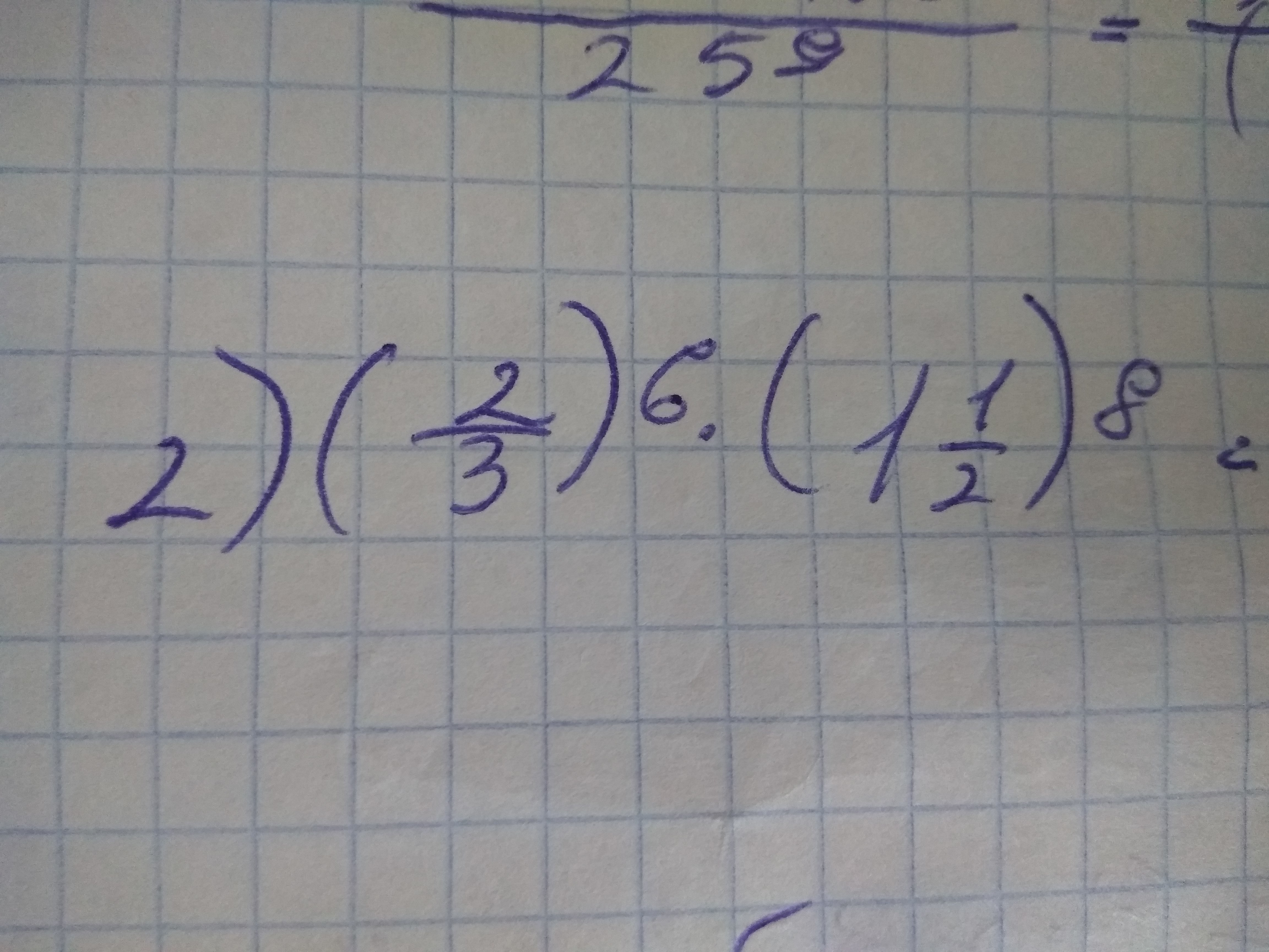
  • (2/3)6*(1 1/2)8=(2/3)6*(3/2)8=(2/3)6*(3/2)6*(3/2)2=(2/3)6 и (3/2)6 взаимно уничтожаются=(3/2)2=9/4=2 1/4
    • Автор:

      polo4wvv
    • 6 лет назад
    • 0
  • (2/3)^6×(1 целая 1/2)^8. По свойству степеней это выражение можно представить так:

    2^6/3^6×3^8/2^8. (3/2- это 1 целая 1/2 в виде неправильной дроби). Теперь можно сократить 2 и 3 в числителях и знаменателях. Выполним сокращерие и получим:

    1×3^2/2^2=1×9/4=9/4=2 целых 1/4. Также число можно перевести в десятичную дробь и получится 2,25. Это ответ.

    • Автор:

      marcox2ya
    • 6 лет назад
    • 0
  • Добавить свой ответ

Еще вопросы

Войти через Google

или

Забыли пароль?

У меня нет аккаунта, я хочу Зарегистрироваться

How much to ban the user?
1 hour 1 day 100 years