• Весь день решаю,не получается,помогите)
    Тема:Иррациональные уравнения

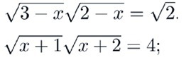
    question img

Ответы 2

  • Извините, господа, но в первом уравнении корень 4 и ао втором уравнении корень -5, .... не входят в одз и корнями не являются.
  • Ответ смотри на фото
    answer img
    • Автор:

      oliver15
    • 6 лет назад
    • 0
  • Добавить свой ответ

Войти через Google

или

Забыли пароль?

У меня нет аккаунта, я хочу Зарегистрироваться

How much to ban the user?
1 hour 1 day 100 years