• Весь день решаю,не получается,помогите!
    Тема:иррациональные уравнения

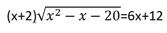
    question img

Ответы 1

  • (x+2)^2 * (x^2 - x - 20) = 36x^2 + 144x + 144(x+2)^2 * (x^2 - x - 20) = 36(x^2 + 4x + 4) (x+2)^2 * (x^2 - x - 20) = 36(x+2)^2 (x+2)^2 * (x^2 - x - 20) - 36(x+2)^2 = 0(x+2)^2 * (x^2 - x - 20 - 36) = 0 (x+2)^2 * (x^2 - x - 56) = 0(x+2)^2 = 0x^2 - x - 56 = 0x не равняется 2, x = 8, x = -7
    • Автор:

      oliver69
    • 6 лет назад
    • 0
  • Добавить свой ответ

Еще вопросы

Войти через Google

или

Забыли пароль?

У меня нет аккаунта, я хочу Зарегистрироваться

How much to ban the user?
1 hour 1 day 100 years