• Помогите пожалуйста.

    Мне говорят "Не раскрыты неопределенности в пределах а) и б)
    (беск/бекс и ед. в степени бекс.)"

    Как это?

    question img

Ответы 1

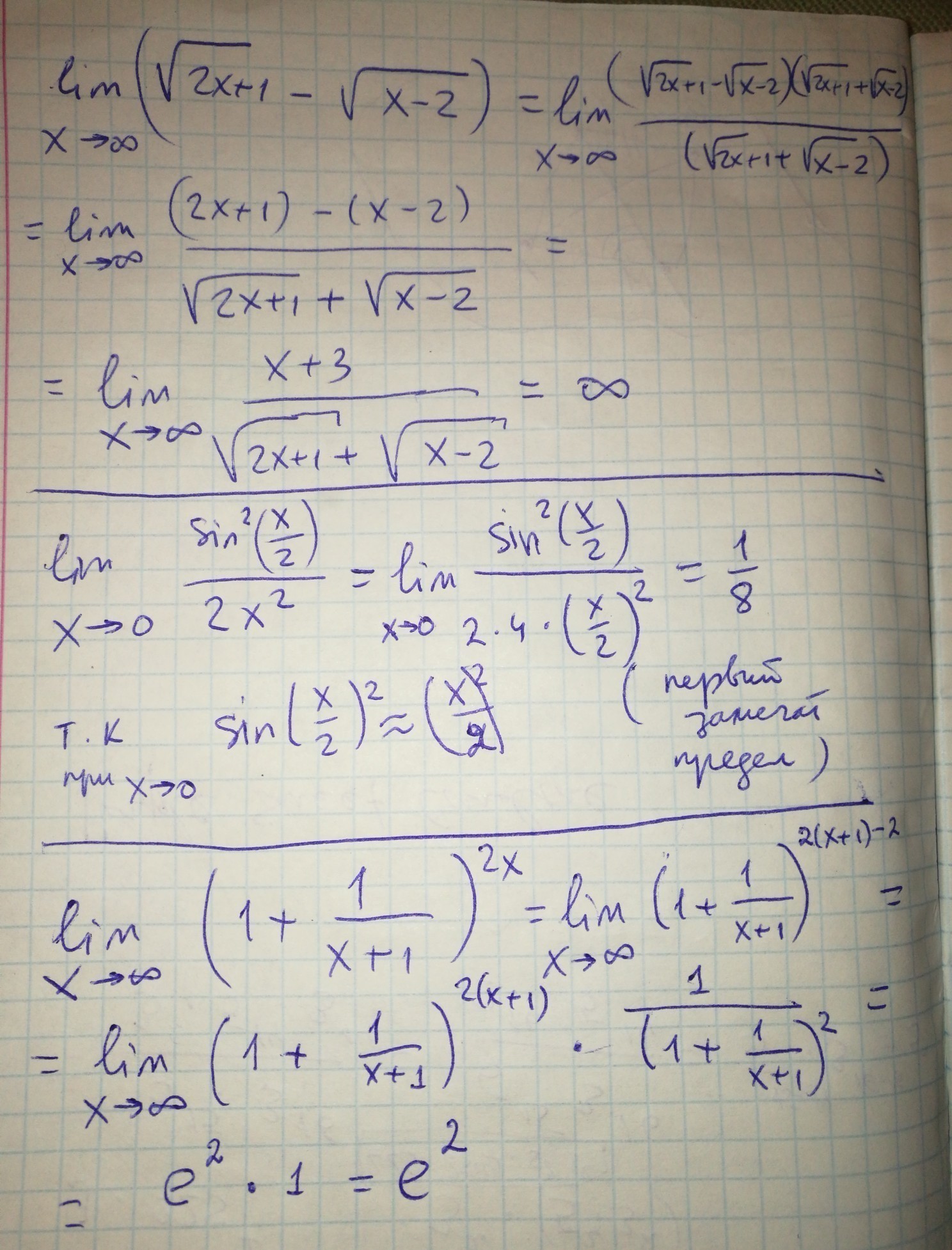
  • 1)\; \; \; \lim\limits _{x \to \infty}\,(\sqrt{2x+1}-\sqrt{x-2})=\lim\limits _{x \to \infty}\frac{x+3}{\sqrt{2x+1}+\sqrt{x-2}}=\Big [\frac{:x}{:x}\Big ]=\\\\=\lim\limits _{x \to \infty}\frac{1+\frac{3}{x}}{\frac{\sqrt{2x+1}}{x}+\frac{\sqrt{x-2}}{x}}=\lim\limits _{x \to \infty}\frac{1+\frac{3}{x}}{\sqrt{\frac{2}{x}+\frac{1}{x^2}}+\sqrt{\frac{1}{x}-\frac{2}{x^2}}}=\Big [\frac{1+0}{0+0}\Big ]=\Big [\frac{1}{0}\Big ]=\infty

    3)\; \; \lim\limits _{x \to \infty}(1+\frac{1}{x+1})^{2x}=\lim\limits _{x \to \infty}\Big (\Big (1+\frac{1}{x+1}\Big )^{\frac{x+1}{1}}\Big )^{\frac{1}{x+1}\cdot 2x}=\\\\=e^{\lim\limits _{x \to \infty}\frac{2x}{x+1}}=\Big [\lim\limits _{x \to \infty}\frac{2x}{x+1}=\Big [\frac{:x}{:x}\Big ]=\lim\limits _{x \to \infty}\frac{2}{1+\frac{1}{x}}=\frac{2}{1+0}=2\, \Big ]=e^2

  • Добавить свой ответ

Войти через Google

или

Забыли пароль?

У меня нет аккаунта, я хочу Зарегистрироваться

How much to ban the user?
1 hour 1 day 100 years