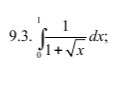
• 20 БАЛЛОВ СРОЧНО Вычислить по формуле Ньютона-Лейбница определенный интеграл

    question img

Ответы 4

  • Спасибо) А почему во второй строчке перед интегралами стоит двойка?) откуда она получается?)
  • dt = dx / 2t откуда dx = 2t dt
    • Автор:

      juicy
    • 6 лет назад
    • 0
  • спасибо
  • \int {\frac{1}{1 + \sqrt{x}}}\, dx\\t = \sqrt{x}\\\int {\frac{1}{1 + \sqrt{x}}}\, dx = 2\int {\frac{t}{1 + t}}\, dt = 2\int {\bigl(1 - \frac{1}{1 + t}\bigr)}\, dt = 2t - 2\ln(1 + t) + C = 2\sqrt{x} - 2\ln(1 + \sqrt{x}) + C\\\int\limits_0^1 {\frac{1}{1 + \sqrt{x}}}\, dx = 2(\sqrt{x} - \ln(1 + \sqrt{x}))\big\mid^1_0 = 2 - \ln(4)

    • Автор:

      lilyfvzx
    • 6 лет назад
    • 0
  • Добавить свой ответ

Войти через Google

или

Забыли пароль?

У меня нет аккаунта, я хочу Зарегистрироваться

How much to ban the user?
1 hour 1 day 100 years