• Помогите с алгеброй!!!
    Ответы даны, нужно само решение.

    question img

Ответы 4

  • Спасибооооо!
    • Автор:

      norris67
    • 6 лет назад
    • 0
  • Спасибо))
    • Автор:

      garycors
    • 6 лет назад
    • 0
  • Решение в скане.....

    answer img
    • Автор:

      cox
    • 6 лет назад
    • 0
  • task/30681465

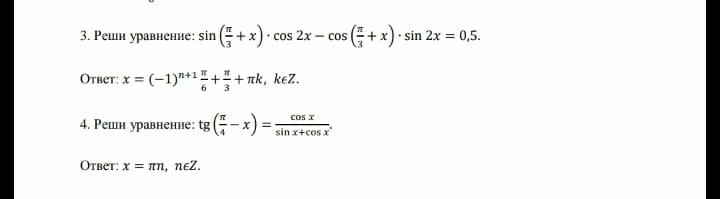
    Решить  уравнение:  3. sin(π/3 +x)*cos2x - cos(π/3 +x)*sin2x  = 0,5

    решение   * sin(α - β) = sinα*cosβ - cosα*sinβ,  [ α= π/3+x , β=2x ] *

    sin(π/3 +x)*cos2x - cos(π/3 +x)*sin2x =0,5 ⇔ sin(π/3 +x - 2x) = 0,5 ;

    sin( -(x -π/3) ) = 0,5 ⇔ - sin(x -π/3) = 0,5 ⇔  sin(x -π/3) = - 0,5 ⇔

    x-π/3 = (-1)ⁿ⁺¹π/6 +πn , n  ∈ℤ ⇔ x  = (-1)ⁿ⁺¹π/6 +π/3πn , n  ∈ℤ .

    ответ :  x  = (-1)ⁿ⁺¹π/6 +π/3πn , n  ∈ ℤ .

    4.  Решить  уравнение: tg(π/4 - x) =cosx / ( sinx+cosx )

    решение * *  tg(α - β) = (tgα - tgβ) /(1+ tgα*tgβ) , [ α= π/4 , β = x]  * *

    tg(π/4 -x) =cosx / ( sinx+cosx )  ⇔

    ( tg(π/4)- tgx ) / ( 1+ tg(π/4)*tgx) =cosx / ( sinx+cosx )  , [ tg(π/4) = 1 ] ⇔

    (1- tgx ) / ( 1+ tgx)  = cosx / ( sinx+cosx)        [ tgx = sinx /cosx ] ⇔

    (cosx- sinx ) / ( cosx +sinx )  = cosx / ( sinx+cosx)    ⇔

    (cosx- sinx - cosx ) / ( cosx +sinx )  = 0 ⇔ - sinx / ( cosx +sinx ) =0 ⇔

    sinx = 0          * * * очевидно  sinx + cosx =  0 ± 1   = ± 1  ≠ 0 * * *

    x = πn , n ∈ ℤ                                  ответ :   x = πn , n ∈ ℤ  

    answer img
    • Автор:

      trixie25
    • 6 лет назад
    • 0
  • Добавить свой ответ

Еще вопросы

Войти через Google

или

Забыли пароль?

У меня нет аккаунта, я хочу Зарегистрироваться

How much to ban the user?
1 hour 1 day 100 years